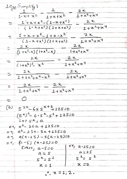
How is you practice going on class 10 students. Are you all geared up for your SEE. Have you practice for your maths Subject. We have provided good model practice solutions for you. Please Take a look.
Post a Comment
0Comments
12/related/default
How is you practice going on class 10 students. Are you all geared up for your SEE. Have you practice for your maths Subject. We have provided good model practice solutions for you. Please Take a look.
0Comments